Introducción
En el ámbito mundial actualmente se emplean varias tecnologías de preparación de suelos que van desde el laboreo total hasta la labranza cero. La tendencia fundamental se dirige hacia la labranza conservacionista, con el fin de garantizar la no inversión del prisma, la cobertura de paja y la remoción de la menor área de suelo posible (Betancourt et al., 2007; Rubert, 2007; Silveira, 2007; Leyva, 2009; Betancourt et al., 2012; Friedrich, 2017).
En general, se identifican tres grupos de tecnologías de labranza que se pueden definir como conservacionistas, pues se sustentan en el laboreo mínimo del suelo y en propiciar una cubierta del mismo con residuos de cosecha. Las mismas son: labranza reducida; labranza mínima y labranza cero o siembra directa (Alt; Leyva, 2009) Actualmente la mayoría de los países han adoptado las tecnologías de labranza conservacionista de suelos, con el fin de cuidar o conservar el suelo.
Las principales ventajas de las tecnologías de labranza conservacionistas están relacionadas con la disminución de la evaporación directa del agua desde el suelo, producto de la cobertura vegetal, la disminución o eliminación de la erosión hídrica y eólica del suelo, la posibilidad de mejorar la macro porosidad del suelo y la mejora de la estructura y estabilidad de los agregados del suelo (Studdert, 2001; FAO, 2000). Además, no genera costras superficiales, aumenta el contenido de materia orgánica (MO) y mejora la disponibilidad de nutrientes, incrementa la capacidad de infiltración y el contenido de humedad del suelo y por último, eleva la actividad biológica (Luchsinger, 2006; Betancourt et al., 2007; Betancourt et al., 2009).Sin embargo, la labranza conservacionista también tiene algunas desventajas pues posee tasas de descomposición de los rastrojos más bajas y la presencia de éstos puede reducir también la efectividad del control de algunas malezas. El ambiente generado por los rastrojos en la superficie puede ser favorable para la perduración de algunas plagas, tanto animales como patógenas. Por su parte el menor calentamiento del suelo puede provocar algunos problemas en la implantación y desarrollo inicial de algunos cultivos. El uso continuado de la siembra directa puede provocar algunos problemas de compactación durante el tráfico de las máquinas e implementos por el interior del campo (Herrera et al., 2003).
En Cuba se han desarrollado varias tecnologías de labranza conservacionista de suelos, fundamentalmente para el cultivo de la caña de azúcar. Las principales son las desarrolladas por el Institutito de Investigaciones de Mecanización Agrícola (IIMA), con aplicaciones en la agricultura cañera y no cañera; la tecnología desplegada por el Instituto Nacional de Investigaciones de la Caña de Azúcar (INICA), introducida específicamente para el laboreo de los suelos cañeros; y la tecnología desarrollada por la Universidad de Granma (UDG), que se apoya en el empleo de una máquina Multilabradora de suelos, fundamentalmente de suelos cañeros (González, 2003; Leyva, 2009; Parra, 2009; Betancourt et al., 2010).
La introducción de las tecnologías de labranza conservacionista en el ámbito internacional ha propiciado la introducción de un apero de labranza con características especiales en sus órganos de trabajo denominado Partill o Paraplow. Los mismos están dotados de brazos curvos que garantizan el corte del suelo de una forma natural y sin la necesidad de inversión del prisma. Este apero combina las cualidades más deseadas de los arados de vertederas en cuanto a la mullición o fragmentación del suelo, con las ventajas que poseen los órganos escarificadores de la no inversión del prisma de suelo y la reducción de la compactación producto de las presiones verticales que ejerce el apero sobre el suelo (Bigham & Brothers Co, 2008).
Dentro de las ventajas de este apero se debe señalar que el mismo es capaz de descompactar el suelo sin destruir su estructura, levanta y fractura el suelo a lo largo de sus planos naturales de falla, permite no mezclar la capa superficial con el subsuelo, no crea terrones, entierra los residuos de cosechas anteriores, lo cual es de gran importancia para la labranza conservacionista del suelo (Bigham & Brothers Co, 2008). Ésto mejora además la infiltración y absorción del agua, estimula el desarrollo de las raíces y permite la colocación de fertilizantes en zonas más profundas.
A pesar de las ventajas mostradas por estos órganos de trabajo en Cuba, aun no se ha desarrollado ninguna tecnología de labranza que incluya aperos con órganos de trabajo que posean características similares a los Paratillo Paraplow, por lo que se define como objetivo: el diseño de un nuevo apero para la labranza conservacionista de los suelos dedicados al cultivo de la caña de azúcar.
Métodos
El diseño y cálculo del nuevo apero estuvo precedido de la elaboración del soporte metodológico requerido para cumplimentar dicha tarea.
Metodología para el cálculo de los parámetros geométrico dimensionales del apero
El cálculo de los parámetros geométrico de los órganos de trabajo del apero de labranza, se realizó en el laboratorio de computación de la Facultad de Ciencias Agropecuarias de la Universidad Central de Las Villas, Se recurrió a la ayuda del procesador matemático Mathcad, donde se programó la secuencia de cálculo de los mismos. El dibujo automatizado de los elementos y piezas que conforman el apero se realizó con la ayuda del software Mechanical Desktop, y el cálculo resistivo de los elementos estructurales con la ayuda del Software Cosmos DesigStar. Las tareas planteadas se complementan a partir de las siguientes metodologías:
Metodología para la determinación de los parámetros geométricos dimensionales del órgano de trabajo y del soporte
Para la determinación del ángulo de inclinación de las rejas se parte de la comprobación del cumplimiento de la condición de deslizamiento del suelo sobre el metal.
Condición de deslizamiento:
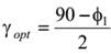
Posteriormente se determina el ángulo de abertura óptimo de las saetas laterales del órgano central (γopt), según:
donde:
γopt- ángulo de abertura del escardillo óptimo, grado;
Φ1- ángulo de fricción del suelo, los tallos y las raíces con el acero, grado.
El ángulo Φ generalmente toma un valor de 45 grado para todo tipo de tallos y raíces.
Posteriormente se calcula la demanda traccional de dichos órganos, según la formula racional de Goriachkin (1965), modificada para los órganos de trabajo escarificadores:
El término P1, representa la resistencia que ejercen el peso del apero y la fricción de sus órganos de apoyo. El mismo se determina, como:
El coeficiente toma como valor promedio de 0,5. f
El término P2 expresa la resistencia a la tracción del apero debido a las características del suelo y magnitud del área cortada. El mismo se determina, como:
donde:
b - ancho de la capa vegetal, m;
a - altura de la capa vegetal, m;
K - coeficiente de resistencia especifica del suelo, kg/m2.
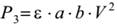
La resistencia a la tracción del arado depende además, de la velocidad de movimiento del arado (V), ya que la capa o prisma de suelo cortado al desplazarse por la superficie es lanzado hacia un lado con cierta fuerza. Esta resistencia se determina mediante el término P3, como:
donde:
ε - Coeficiente que depende de la forma de la superficie de trabajo del arado y de las profundidades del suelo. Por datos experimentales este coeficiente se toma entre los límites ε = 200 -500 kg∙s2∙m-4 (Goriachkin, 1965).
Sustituyendo el coeficiente ε en la potencia que demandan los órganos de trabajo de los aperos de labranza del tipo escarificadores se determina por la ecuación de Goriachkin (1965), como:
El valor de K′depende no solamente de las condiciones del suelo, sino también del peso del arado y de la velocidad de su movimiento.
Metodología para el cálculo resistivo del órgano de trabajo y del apero
Para el análisis resistivo se recurrió al empleo del método de elementos finitos, para lo cual se utilizó el Software Cosmos DesingStar.
Modelo geométrico: se realizó utilizando el Software Mechanical Desktop.
Mallado paramétrico del modelo geométrico. El análisis por el método de elementos finitos se realizó a partir del mallado paramétrico del ensamble. Para esto se emplearon elementos tetraédricos, lineales, sólidos, definidos por cuatro nodos en las esquinas conectados por seis lados rectos, (Figura 1). El mallado del ensamble generó 29111 nodos y 104174 elementos.
Condiciones de fronteras. Las restricciones establecidas comprendieron la total eliminación del desplazamiento y la rotación en los tres ejes (x, z, y) de los tirantes laterales de unión del apero al tractor, así como del tercer punto, (Figura 2). De igual forma se consideró que las ruedas de apoyo tienen limitado su movimiento en el eje transversal al movimiento de avance del apero (eje y). El eje vertical está libre en ambos sentidos (eje x), y el eje vertical (z) tiene restringido el movimiento en el sentido positivo, o sea no permite que la rueda se desplace en el sentido de la acción del peso que recae sobre las mismas. Se particionó la rueda de apoyo de manera tal que se tomó en cuenta el posible hundimiento de las misma. Es decir, las cargas y restricciones solo actúan en esta porción de la rueda. En este caso se tomó en cuenta la acción de la reacción de las fuerzas de resistencia a la rodadura de las referidas ruedas. El valor de esta fuerza ascendió a 0,166 kN.
Para el análisis de la resistencia del apero se consideraron cuatro variantes de estudio, coincidentes con cuatro situaciones de carga crítica, las cuales son:
-
La acción de las fuerzas es uniforme en cada uno de los órganos de trabajo, sobre ellos actúan 10 kN;
-
El apero interactúa con un obstáculo; la fuerza de tracción del tractor (30 kN) ejerce su influencia sobre el órgano de trabajo central (escarificador alado);
-
El apero interactúa con un obstáculo; la fuerza de tracción del tractor (30 kN) ejerce su influencia sobre uno de los órganos de trabajo curvos (Tipo Paratill);
-
El apero interactúa con un obstáculo; la fuerza de tracción del tractor ejerce su influencia sobre los dos órganos de trabajo curvos (Tipo Paratill), ejerciendo sobre estos una fuerza de 15 kN para cada uno.
De igual forma se realizó el análisis que prevé la posibilidad de que el apero interactúe con un obstáculo y la fuerza de tiro se descargue sobre la barra de tiro. Para ello se consideró que los dos órganos de trabajo están empotrados por sus extremos. Sobre las barras de tiro inferiores actúan dos fuerzas de 30 kN en el sentido positivo del movimiento del apero (eje x, Figura 3). En este caso sobre el tercer punto de enganche del apero actúa una fuerza de 5 kN en el sentido negativo del eje x, es decir tiende a comprimir la barra. En este caso también se mantuvieron las restricciones y fuerzas que actúan sobre las ruedas de apoyo.
Figura 2. Colocación de los apoyos y fuerzas para el análisis aplicando el método del elemento finito.
Metodología para la comprobación de la resistencia mecánica del apero
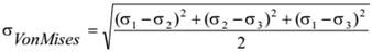
Para la comprobación de la resistencia mecánica del implemento mediante el método de los elementos finitos, se empleó el criterio de las máximas tensiones de Von Mises, que se basa en la teoría de Mises-Henky, también conocida como la teoría de la máxima energía de corte o la teoría de la máxima energía de distorsión.
La fluencia es predicha cuando:
Las tensiones de Von Mises pueden ser expresadas en términos de las tres tensiones principales:
A partir de las tensiones de Von Mises y la tensión de fluencia del material, para el caso del trabajo en el rango elástico del material, el programa determina el factor de seguridad (FOS) para el cual trabaja el material, como:
El programa empleado lista el factor de seguridad mínimo, basado en el criterio específico que toma en cuenta las mayores tensiones locales. Le queda al usuario decidir cuándo considera o no estas tensiones locales para calcular el factor de seguridad de cada parte.
Resultados y Discusión
El cálculo de los parámetros geométrico- dimensionales permitió definir la geometría del apero y de esta forma establecer los ángulos de desterronamiento, de ataque y de abertura de las saetas (Tabla 1).
Descripción del apero
El apero diseñado (Figura 4) se denomina “Paratill C-80”, este reúne las principales características del Paratill y está destinado para el laboreo conservacionista de los suelos cañeros, con un ancho de labor de 0,80 m. Está compuesto, por tres órganos de trabajo, los dos primeros dispuestos lateralmente y el tercero en el centro del apero. Los órganos laterales (6) poseen una geometría similar al Paratill, pues sus brazos o timones poseen una inclinación de 45 grado respecto a la normal. Estos brazos se encuentran protegidos contra el desgaste por cuchillas intercambiables (7) que se fijan a los mismos mediante una unión atornillada. Acoplado a estos brazos se colocaron dos deflectores (8) para garantizar que no ocurra el volteo o la inversión del volumen de suelo cortado, su posición se puede regular en función de las características del tipo de suelo a laborar. El brazo o timón del órgano central (9) posee una geometría semejante a la del M-160, con la diferencia que este posee dos saetas laterales (10) que descompactan el suelo y descepan la caña planta que se va a demoler. Este órgano también posee un surcador (11) que tiene como función crear las condiciones necesarias para plantar los nuevos propágalos de caña. Los brazos o timonesestán soportados por bridas o porta timones (12), que a su vez actúan como elementos de fijación al bastidor (1). Tomando en cuenta que el apero está concebido para laborar en las plantaciones de caña de azúcar el diseño previó la incorporación de dos discos pica paja (4) con el fin de evitar los embotamientos de los órganos de trabajo, además de posibilitar la mantención de la cobertura. Estos discos están ensamblados a dos ruedas rígidas (3) que se emplea para la regulación o control de la profundidad de trabajo, la cual se puede regular mediante la ayuda de un usillo (5).
El enganche o acople al tractor es de tipo integral de 3 puntos, mediante el empleo de dos barras inferiores y un tercer punto, que están embridadas al bastidor, las cuales se acoplan a las barras de carga o tirantes inferiores y superior del tractor. En la Fig. 4, se muestra un vista general del apero.
Esquema de trabajo del nuevo apero
Este apero está concebido para la labranza localizada en franjas de los suelos dedicados al cultivo de la caña de azúcar, los brazos curvos tipo Paratill tienen la función de descompactar la zona de desarrollo lateral del sistema radical de las plantaciones de caña, (Figura 5a). El brazo central del tipo escarificador alado va descepando y descompactando la zona de desarrollo de la cepa y el sistema radical relacionado con su parte central.Finalmente las vertederas acopladas a este órgano de trabajo van conformando el surco donde se desarrollarán las nuevas plantaciones. Todas estas labores se realizan en un solo pase del apero. Finalmente se muestra el esquema de la cinemática de movimiento del apero (Figura 5b).
Resultados del cálculo de la resistencia a la tracción del apero
La determinación de la resistencia a la tracción del apero mostró, que el mismo demanda una fuente energética de la clase traccional 30 kN, lo cual posibilitará una eficiencia en el aprovechamiento de la fuerza traccional de 0,88, cuando el apero trabaja a una velocidad máxima de 3 km/h, una profundad de 0,35 m y un ancho de trabajo de 0,80 m.
Resultados del análisis de la resistencia del apero diseñado
En el análisis de resistencia el apero mostró que es capaz de resistir las solicitudes de esfuerzos actuantes sobre los órganos de trabajo, con un factor de seguridad mínimo es de 5,4, (Figura 6a).
Por otra parte, se observa que la zona de máximas tensiones se concentra en las bridas que soportan los órganos de trabajo y los fijan al bastidor, así como en las barras de tiro, (Figura 6b).
Conclusiones
-
Los parámetros de diseño del apero calculado, se corresponden con los establecidos en la literatura científica, así como con las exigencias agrotécnicas para el desarrollo del cultivo de la caña de azúcar;
-
El nuevo apero diseñado es capaz de resistir las condiciones de trabajo más adversas;
-
La documentación técnica elaborada permitirá la construcción del apero de labranza, cumpliendo con los requisitos técnicos y tecnológicos requeridos.
