INTRODUCCIÓN
El arroz (Oriza sativa), ocupa solo el 7,6 % de los 2 733,5 millones de ha de tierra cultivadas en Cuba ONEI (2017), sin embargo utiliza alrededor del 30 % del total de agua demandada anualmente para el riego de los cultivos agrícolas en el país (Herrera et al., 2011). No obstante este alto consumo de agua los rendimientos promedios (arroz cascara) para el período 2013 al 2016 fueron de 3,07 ton ha-1, por lo que para suplir las demandas se importaron durante ese mismo período 456 945 ton arroz consumo (ONEI, 2017). No obstante, se han señalado potenciales de producción de arroz cascara entre 6,4 a 7,4 t ha-1para las siembras de frío y 4,4 a 5,3 t ha-1 para las de primavera (Colom, 2001).
La cantidad de agua requerida por cualquier cultivo (evapotranspiración del cultivo, ETc) depende de su estado de desarrollo, de las características físicas del suelo, de su estado nutritivo, de la calidad del agua utilizada y de las condiciones climáticas. La medición o la estimación de la tasa de uso de consumo de agua es imprescindible para la determinación de los requerimientos de riego.
El régimen de riego más practicado en el arroz en Cuba es el llamado aniego no permanente particularmente cuando se siembra en la época de frio donde el arroz depende casi totalmente del riego Según describen Alemán et al. (1987), este manejo se caracteriza porque la geminación se logra sin que las semillas permanezcan bajo lámina de agua permanente y a partir de la 3ra a 5ta hoja se establece una lámina de agua en la parcela que se suspende cuando el cultivo alcanza el 50% de panículas, según resultados de Polon y Pardo (1981).
De lo anteriormente citado se puede inferir que en el balance hídrico del campo arrocero, a diferencia de otros cultivos, va más allá de determinar las diferencias entre ETc y lluvias aprovechables ya que otros factores, como la tasa de percolación del suelo y la evaporación desde la superficie del agua retenida en la terraza, determina la cuantía de la norma de riego a aplicar al cultivo. Bouman et al. (2007), han señalado que las demandas de agua para el arroz (lluvia + riego) para las condiciones del continente asiático, varían entre 400 mm en suelos arcillosos pesados con manto freático superficial, que suministra directamente agua para la transpiración) hasta más de 2000 mm en suelos loan arenosos con manto freático profundo.
En Cuba, las demandas de agua en el arroz se realizan sobre la base de una norma bruta de 17 400 m3 ha-1, y se calcula una eficiencia global del sistema que fluctúa entre 0,68 para la región occidental y central y 0,70 para la occidental INRH (1999), lo cual debiera indicar una norma neta de 11 832 y 12 180 m3ha-1 para la región oriental -central y occidental, respectivamente. Las intensas sequías del año 2014- 2015, obligó a la reducción de estas normas con vistas a mantener el área de siembra a un nivel fijo de 14 000 m3 ha-1, esta reducción no se basó en estudios del balance hídrico del cultivo, sino más bien en los promedios históricos de los consumos reales de agua para riego.
Pocos estudios se han realizado en el país sobre las demandas netas de agua del arroz, la mayor parte de los publicados corresponden a la región occidental, y otros forman parte de la ¨literatura gris¨, solo recogido en tesis de pregrado y doctorales. Otra característica general de los mismos es que la mayoría fueron desarrollados desde los años 70 al 90, casi todos con variedades de arroz que en la actualidad no son utilizadas.
Ante la reducción real de las normas de riego para el cultivo de arroz, sin que al parecer se hayan afectados los rendimientos por este concepto, la posible disminución en las cantidades de lluvia avizoradas como efecto del cambio climático y la escases de estudios sobre el balance hídrico del cultivo, elementos todos que invitan a estudiar más fondo este balance, el presente trabajo se propone una revisión de los estudios realizados en el país, tanto teóricos como de campo, sobre los elementos que componen el balance hídrico del arroz en Cuba y su comparación con la literatura internacional con miras a obtener una guía para su futuro estudio.
DESARROLLO DEL TEMA
Componentes del Balance Hídrico del arroz
Las demandas de agua para riego del arroz están muy relacionadas con el balance hídrico peculiar de este cultivo. El balance de agua del arroz puede representarse brevemente por la fórmula de balance hídrico (Ding et al., 2017):
Donde ΔH es la variación de agua almacenada en la terraza, I el agua aplicada como riego y Ll, E, T, P y D representan la lluvia caída, evaporación, transpiración, percolación y drenaje superficial, respectivamente.
La Figura 1 (Bouman et al., 2007) muestra esquemáticamente este balance, en ella O y S son equivalentes a las pérdidas por drenaje superficial (D). Como puede observarse de la ecuación y la Figura 1, las entradas consisten en el riego, lluvia y ascenso capilar y las salidas por transpiración, evaporación, desborde sobre los diques, seepage y percolación.

FIGURA 1.
Balance de agua en un campo arrocero, C= Ascenso capilar, E = evaporación, I = Irrigación, Ll = Lluvias, O = Desborde de los diques, P = Percolación, S = Flujo lateral, T = Transpiración (adaptada de Bouman et al. (2007).
A continuación se discutirán cada uno de los términos de esta ecuación teniendo en cuenta las condiciones en que se cultiva el arroz en Cuba.
Ascenso capilar
En el caso en que la terraza se mantiene permanentemente inundada, como es el caso más común en Cuba Alemán et al. (1987), el ascenso capilar puede desestimarse del balance hídrico pues con la inundación permanente se produce un flujo descendente continuo mientras dure esta.
Lluvias
Los potenciales ingresos por lluvias varían de acuerdo a la región donde se siembre el cultivo y a la época de siembra. La Tabla 1, muestra el calendario de siembra para las tres épocas en que se puede dividir el cultivo del arroz en Cuba (Minag, 2005).
TABLA 1.
Épocas y períodos de siembra del arroz en Cuba (Minag, 2005)
| Épocas | Periodo de siembra | |
|---|---|---|
| desde | hasta | |
| Invierno | 15 de noviembre | 28 de febrero |
| Pre-primavera | 1 de marzo | 30 de abril |
| Primavera | 1 de mayo | 15 de agosto |
Grillo y Carrazana (2017) analizaron el comportamiento promedio de las precipitaciones en los principales macizos arrocero del país, estudio que permitió elaborar la Tabla 2 donde se muestran las lluvias mensuales promedios para estas zonas de producción arrocera.
TABLA 2.
Precipitaciones mensuales promedio (mm/mes) de las principales zonas arroceras de Cuba (promedio hasta el año 2000, adaptado de Grillo y Carrazana (2017).
Como puede observarse en la Tabla 2, la mayor variabilidad en las precipitaciones corresponde a la época de seca (16,8 %) y las precipitaciones aumentan desde el occidente (Paso Real, provincia Pinar del Río) hacia el oriente (Jucarito y Veguitas, provincia Granma), aunque con muy poca diferencia.
En el cálculo del balance de humedad en los cultivos a cielo abierto la precipitación juega un papel fundamental
Lluvia efectiva
Sin embargo, no toda la lluvia es aprovechada por los mismos, ya que las condiciones físicas del suelo, así como el estado de humedad de éste en el momento de la lluvia, condiciona la fracción aprovechable de ésta. A dicha fracción desde el punto de vista agronómico se le conoce como precipitación efectiva (Pe).
En el caso del arroz, cuando se cultiva bajo aniego, el cálculo de PE toma un camino diferente por cuanto es necesario tener en cuenta la altura de los diques que rodean la terraza y su capacidad de almacenar la lluvia al momento de ocurrir esta.
Dastane (1974), al analizar diferentes métodos de determinación de la PE, propone un método particular para el caso del arroz, donde interviene la altura del agua tolerable en la terraza según el estado de desarrollo del cultivo, las pérdidas por percolación y la Evapotranspiración del cultivo. Por su parte, García (1982, citado por Conte (1991) señala que el cálculo de la lluvia aprovechable en el arroz se hace difícil al mantenerse la terraza con agua durante casi todo el cultivo, este autor indica que si el campo arrocero se encuentra sin lámina de agua al momento de ocurrir la lluvia, puede considerarse como lluvia aprovechable toda aquella cantidad que no ocasione que el campo drene, mientras que en el caso de existir lámina de agua en la terraza, se considera aprovechable solo aquella cantidad que permita a la lámina de agua en la terraza ascender hasta alcanzar el nivel permitido por los diques.
Los estudios sobre la lluvia aprovechable en el arroz en Cuba son escasos. Pérez (1975), al proponer una metodología para el cálculo del régimen de riego de proyecto del arroz, indicaba utilizar la lluvia del 50 % de probabilidad y un coeficiente de aprovechamiento de la misma entre 0,5 y 1, mientras que Egaña (1969), para las condiciones de Pinar del Río propuso un coeficiente de utilización del 45%. Rey y De la Hoz (1979) señalaron valores entre el 20 al 30 % y Dueñas (1981, citado por Camejo et al. (2017) propuso un coeficiente (Kp) igual a 1 para la lluvia aprovechable en el caso que la etapa o fase de desarrollo del cultivo dure más de 10 días. Los trabajos antes citados fueron estudios teóricos realizados durante las primeras etapas de crecimiento de los planes de producción de arroz en Cuba desarrollados a partir de 1969.
Dueñas (1976, citado por Alvarez (2017) al estudiar varios manejos de agua en la región Central de Cuba (provincia Sancti Espíritus) durante dos años en siembra de invierno encontró una contribución de la lluvia al balance total de agua en el arroz del 30 % para un campo bien nivelado y lamina de aniego no mayor de 8-12 cm y de solo el 4. 1 % cuando el campo no fue nivelado y la lámina de aniego fluctuó entre 15-20 cms.
Conte (1991), en el Occidente del país (Municipio Los Palacios, provincia Pinar del Rio) encontró coeficientes de aprovechamiento de las lluvias entre 12 al 31 % en sistemas de riego poco tecnificados (semi ingenieros) y del 75% en sistemas tecnificados (ingenieros) atribuyendo estas diferencias al estado técnico de los sistemas en uno y otro caso. Camejo et al. (2017), en la región central (Municipio Chambas, provincia Ciego de Ávila) al estudiar dos sistemas de manejo diferentes del agua durante dos años (en uno de ellos se suministra agua hasta alcanzar 10 cm solo cuando la lámina en la terraza descendió a 3 cm hasta el 50 % de paniculación (Variante I) y suministro de agua según el método tradicional utilizado en Cuba con lámina de agua permanente de 15 cms hasta 50 % de paniculación (Variante II)) y dos épocas de siembra (invierno y primavera). Este autor encontró valores de lluvia aprovechable del 23 y 12 % en las épocas de siembra de invierno y primavera respectivamente para la variante I y de 1.93 y 2,04 % para la variante II en invierno y primavera respectivamente.
Como puede observarse de los trabajos antes analizados, el aprovechamiento de la lluvia en el cultivo del arroz es dependiente de la forma en que se maneje el agua y de la época de siembra, siendo al parecer el primer factor el más importante. Los máximos valores obtenidos en campo (Dueñas 1976, citado por Conte (1991), Alvarez (2017) y Camejo et al. (2017), son coincidentes con el estudio teórico de Rey y De la Hoz (1979) quienes situaban este valor en 27,5 % como promedio.
Evaporación
Rey y De la Hoz (1979) calcularon un valor de pérdida de agua por evaporación en campos arroceros con ciclos entre 125 y 155 días de 488 mm, lo que representaba el 3% del agua total balanceada para el cultivo. En Texas, Roel et al. (1996), encontraron variaciones en las perdidas por evaporación al utilizar dos manejos de agua diferentes en el cultivo, uno de ellos con aniego permanente donde las pérdidas fueron de 80 mm y el otro llamado Pint-Point por los autores (consiste en drenar la terraza 24 horas después de la siembra, durante aproximadamente 3 días y luego reinundarla hasta la cosecha) donde se obtuvieron pérdidas de solo 40 mm.
Conte (1991), en estudios de campo, utilizando evapontranspirómetros tipo Zaitsev (una descripción detallada de estos equipos, su uso e instalación puede ser consultada en García, (1994) solo obtuvo pérdidas por Eo durante las primeras decenas de crecimiento, cuando las plántulas estaban en proceso de germinación y el campo fue inundado con este propósito, los valores obtenidos fluctuaron entre 33 y 163 mm según época de siembra y estado de la terraza.
La evaporación (Eo) en los campos arroceros ocurre directamente desde la capa de agua de aniego, y es importante solo en la primera fase de desarrollo del cultivo donde el riego se aplica para lograr la germinación. En estas condiciones el valor de la Eo desde el suelo saturado se corresponde con el valor de la Evaporación medida en el tanque evaporímetro ya que al no existir aun un cultivo desarrollado, la tasa de ETc está limitada solo por la energía disponible, la evaporación desde la superficie del suelo saturado tiene la posibilidad de tener una tasa de ETc similar a una superficie inundada (Linquist et al., 2015).
Para la estimación de las perdidas por evaporación en un suelo arrocero saturado, Pérez (1975) propuso su cálculo a partir de la expresión:
Donde Ea es la evaporación desde el suelo desnudo, Eo la evaporación desde el tanque evaporímetro clase A. Por su parte, Ventura et al. (2006, Citado por Linquist et al. (2015) propusieron la utilización de un coeficiente Kx para calcular la evaporación desde un suelo desnudo (Kx) a partir de la Evapotranspiración de referencia.
En general en el balance hídrico del campo arrocero, al valor de Eo no suele dársele mucha importancia toda vez que el volumen de agua utilizado en el primer riego, depende más bien de las características físicas del suelo y el momento del segundo riego lo define, más que la humedad del suelo, la germinación de las plántulas de arroz.
Infiltración y Percolación
Al ponerse en contacto una masa de agua con un suelo seco, esta comienza a escurrir a través de los poros del mismo dando así comienzo a lo que se denomina infiltración. Al principio, este movimiento vertical hacia abajo es muy rápido, pero con el transcurso del tiempo, el agua va saturando las distintas capas del perfil del suelo y este movimiento se hace más lento hasta que se estabiliza a una tasa constante, numéricamente similar a la conductividad hidráulica del suelo saturado (Marquez y Salgueiro, 1984; Azwan et al., 2010).
Junto a la percolación como tasa de movimiento vertical del agua por debajo de la zona radicular hacia el manto freático, ocurre también un flujo lateral sub superficial de un campo hacia otro y hacia los canales de drenaje denominado seepage. Debido a que el seepage y la percolación ocurren simultáneamente y son difíciles de separar en el campo, su valor se suele considerar de conjunto (Azwan et al., 2010). Wicman (1971), citado por Azwan et al. (2010) y Ding et al. (2017) señalan a la percolación y el seepage como los componentes más oscuros al conducir estudios del balance de agua en campos arroceros debido a la dificultad de realizar medidas exactas de los mismos y de lograr una clara diferenciación de estos dos componentes, que en la práctica pueden considerarse en conjunto.
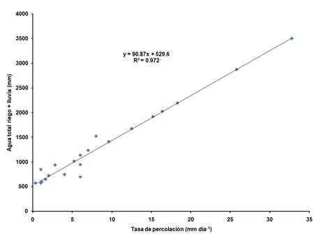
La importancia de la tasa de percolación en el balance hídrico del arroz puede deducirse de lo mostrado en la figura 2, preparada a partir de los datos de Bouman et al. (2007), Tabla 1; en la misma puede observarse el incremento lineal de la cantidad de agua a aplicar a partir de una tasa de filtración de 5 mm dia-1, donde el agua aplicada fluctúa entre 500 a 1000 mm para todo el ciclo del cultivo.
Dependiendo de la textura y estructura del suelo, profundidad del manto, altura del agua en el campo, intensidad del fangueo, y el espaciamiento entre los drenes, se pierde por percolación una considerable cantidad de agua en el arroz inundado (Azwan et al., 2010; Ding et al., 2017). También se ha señalado como factores importantes en las perdidas por percolación (al menos en el primer riego con siembra en seco) al caudal unitario entregado y a la longitud de la terraza (Hervis et al., 2016).

FIGURA 2.
Relación entre el agua total aplicada al cultivo del arroz y la tasa de filtración en condiciones de aniego permanente (elaborada a partir de datos de (Bouman et al., 2007).
Kung et al. (1965, citado por Azwan et al. (2010) señalaron que el requerimiento de agua del arroz en Tailandia fluctúa entre 520 a 2549 mm, de los cuales 273 a 1275 mm representan la percolación, mientras que Dastane (1974), para la India, encontraron valores de requerimientos de agua entre 750-2500 mm de los que el 60% es perdido por percolación. Por su parte, Renault (2004), señala que las pérdidas por percolación en un campo arrocero pueden llegar a ocupar entre el 22 al 58% del agua aplicada al campo. En general, las tasas de percolación pueden variar desde 1 mm dia-1 en suelos arcillosos con un fangueo intenso hasta 20 mm día-1 en suelos de textura ligera.
En Cuba, en estudios teóricos sobre el régimen de riego del arroz para la zona occidental, Egaña (1969), señaló valores de percolación de 4 mm dia-1, para una pérdida total de 440 mm en todo el ciclo, lo que represento para este autor una pérdida del 32,8% del total de agua a aplicar al arroz. Pérez (1975), también en estudios teóricos, para Vertisuelos en la zona central del país calculo valores de 4.8 a 6.9 mm dia-1 y Rey y De la Hoz (1979) calcularon un total de 466 mm en un ciclo promedio de 140 días (3.33 mm dia-1), lo que significó el 29.1 % del total de agua calculada como riego en el ciclo.
En estudios de campo, en suelos Vérticos, Hernández e Infante (1976) determinaron valores de 5.8 mm dia-1, mientras que Polon y Pardo (1982) encontraron valores de 6,33 y 8,94 en dos campañas de invierno y primavera respectivamente. Tanto Hernández e Infante (1976) como Polon y Pardo (1982) realizaron sus mediciones en tanques evapontraspirometros (García, 1994), en algunos de los cuales crecían plantas de arroz y en otros no y señalaron incrementos de la tasa de percolación cuando el suelo tenia plantas comparado con el suelo desnudo, según estos autores la percolación se incrementó en la medida en que las plantas desarrollaron y atribuyeron este incremento a la porosidad creada por el desarrollo del sistema radicular de las mismas.
Conte (1991), también en estudios de campo, en cuatro lotes asentados sobre suelo Gley ferralítico, en Los Palacios (Provincia Pinar del Río, Cuba) obtuvo valores de percolación entre 2,19 a 2,85 mm dia-1, equivalentes a 252-399 mm para todo el ciclo, equivalente al 21,8 - 30 % del agua aplicada al cultivo.
Como puede observarse de los trabajos antes citados, las pérdidas por percolación en los campos arroceros, en general fluctúan entre el 20 al 30% del agua total aplicada, y ellas dependen del tipo de suelo (del valor de la conductividad hidráulica saturada, Ks, del mismo y también de la altura de la lámina que se mantenga sobre la terraza una vez que el suelo se sature. Basado en estos factores se han propuesto varios métodos para el cálculo de la percolación como factor de egreso en el balance de agua de arroz.
Pérez (1975), calculó las pérdidas por percolación y seepage de modo independiente y propuso las formulas siguientes:
W5
cantidad que percola en el suelo en sentido vertical´
W6
cantidad que se filtra a través de los diques de contorno en sentido horizontal.
Kf
coeficiente de filtración del suelo (equivalente a la infiltración básica o la conductividad hidráulica saturada, mm día-1).
Qu
gasto unitario por filtración lateral (m3 s-1 m).
L
longitud de los diques
n
tiempo en que hay una lámina de agua en el campo (segundos)
F
área del campo considerado.
h1, h2
altura de la lámina en el tiempo tx
Azwan et al. (2010), proponen utilizar la Ley de Darcy para la estimación de la percolación, la cual calculan como:
donde: Dp es la percolación (mm día-1); Ks es la conductividad hidráulica saturada (mm día-1) y Δh/ΔZ es el gradiente hidráulico.
Para la determinación del valor de conductividad hidráulica en la zona del perfil considerada, estos autores proponen:
Ks es la conductividad hidráulica saturada para la zona de cálculo (cm s-1) K1 y K2 es la conductividad hidráulica de la capa 1 y 2 respectivamente (cm s-1), ΣZ es la profundidad total de la capa estudiada (cm) y Z1 y Z2 son las profundidades respectivas de las capas 1 2.
Ding et al., (2017). estimaron la percolación utilizando el método propuesto por Lin y Luo (2003, citado por Ding et al., 2017), en el cual la percolación diaria se calcula como:
dónde: Si es la tasa de percolación del día i (mm); K0 es la conductividad hidráulica saturada (m dia-1); α es una constante empírica, que varía entre 50 y 250 e incrementa con el incremento en la profundidad del suelo; ti es el número de días desde la última ocasión en que se saturó el suelo (días); H es la profundidad de las raíces del arroz (m). Para el cálculo más exacto de α, estos autores proponen la relación:
En la actualidad se ha hecho popular la utilización del modelo CropWat 8.0 (FAO 2009) para los estudios de demanda de agua en el arroz (Ruiz, 2014; Song et al., 2016; Hossain et al., 2017; Narmilan y Sugirtharan, 2018); este programa contiene una subrutina de datos de suelo en la que tambien interviene la conductividad saturada, el programa ofrece una tasa maxima depercolación (default) de 3,4 mm día-1, aunque la misma puede ser introducida por el ususario a voluntad.
Cualquiera de los metodos antes expuestos pueden ser utilizados para estimar las tasas de percolación en campos arroceros en los suelos cubanos, donde existe una abundante información sobre la tasa de infiltración básica (Nakaidze y Simeón, 1972; Ascanio et al., 1980; Cid et al., 2011).
Evapotranspiración del cultivo (ETc)
Se conoce como evapotranspiración (ET) a la combinación de dos procesos separados por los que el agua se pierde a través de la superficie del suelo por evaporación y por otra parte mediante transpiración del cultivo (Allen et al., 2006). En el arroz inundado, la evaporación ocurre directamente desde la superficie del agua que cubre la terraza, mientras que la transpiración se produce por la extracción de agua por las plantas de arroz desde la capa de suelo que exploran las raíces. Como la evaporación y la transpiración son difíciles de medir por separado una vez establecido el cultivo del arroz, al realizar el balance de agua del mismo, ambos parámetros se utilizan de conjunto como evapotranspiración del cultivo (Bouman et al., 2007).
Según Bouman et al. (2012), la ETc para un ciclo de cultivo de arroz varía entre 400 y 700 mm en los trópicos y de 800 a 1100 mm en regiones templadas, lo que significa del 56 al 53% del agua total entregada al cultivo de acuerdo con Renault (2004). A la mitad del ciclo del cultivo, cuando ya existe una cobertura completa del cultivo, el arroz evapontranspira a una tasa ligeramente superior a la evapotranspiración de referencia (ET0), con tasas diarias de ET promedios de 4-5 mm dia-1 en estación húmeda tropical y 6-7 mm día-1 en estación seca tropical, pero que pueden llegar hasta 10-11 mm día-1 en las regiones áridas (Bouman et al., 2007).
La Tabla 3 muestra valores de la ETc del arroz para varias regiones del mundo, la misma no incluye la evaporación del agua utilizada en la preparación del suelo para aquellos casos en que se utilizó el fangueo o se sembró por trasplante. De acuerdo con esta tabla el consumo promedio por ETc es de 577 mm, con los menores valores en China (406 mm promedio) y los mayores en Malasia y California con más de 700 mm.
TABLA 3.
Evapotranspiración del cultivo de arroz en varias regiones del mundo
| Localidad | Consumo (ETc para todo el ciclo, mm) | Autores |
|---|---|---|
| Zhenjiang, China | 307-378 | Haofang et al. (2017) |
| North China Plain | 458-483 | Xue et al. (2008) |
| Bangladesh | 441-553 | Fahmida et al. (2017) |
| Nigeria | 502,1 | Adeniran et al. (2010) |
| Japón | 534-419 | Ikawa et al. (2017) |
| Viet-Nam | 557 | Ngo et al. (1982) |
| Karmal, India | 587 | Tyagi et al. (2000) |
| Serdang, Malasia | 569,8 | Maina et al. (2014) |
| Thailandia | 614 | Hossain et al. (2017) |
| Butte County , California | 690-762 | Montazar et al. (2017) |
| Colusa County, California | 681-813 | |
| Kirtipur, Kathmandu | 711,45 | Aryal (2012) |
| Malaysia | 775 | Azwan et al. (2010) |
| California | 798 | Lal et al. (2012) |
En estudios teóricos sobre el balance de agua para el arroz en la zona del ¨Sur del Gibaro¨ (provincia Sancti Spiritus) en Cuba, Pérez (1975) señaló valores de ETc para el arroz de 1431 mm: Este autor en su estudio utilizó la fórmula de Blaney y Criddle, la cual Rey y De la Hoz (1979) indicaron no era adecuada para la determinación de la ETc de los cultivos en Cuba. Estos mismos autores Rey y De la Hoz (1979), determinaron consumos por evapotranspiración en ciclo de 155 días (siembra en diciembre) de 882 mm, ciclo de 140 días (siembra en marzo) de 981 mm y ciclo de 125 días (siembra en julio) de 763 mm.
TABLA 4.
Evapotranspiración del arroz en estudios realizados en Cuba
| Localidad | Consumo (ETc para todo el ciclo, mm) | Época | Duración del ciclo (desde la germinación a la cosecha, días) | Variedad | Autores |
|---|---|---|---|---|---|
| La Habana | 870,5 | marzo-agosto | 132 | IR-8 | Hernández y Infante (1976) |
| La Habana | 657 | (julio-noviembre) | 112 | IR-8 | Hernández y Infante (1976) |
| Los Palacios (Pinar del Río) | 1173 | invierno | 140 | Polon y Pardo (1982) | |
| 1104 | primavera | 125 | Polon y Pardo (1982) | ||
| Los Palacios (Pinar del Río) | 955 | abril-agosto | 153 | J-104 | Conte (1991) |
| 758 | mayo-septiembre | 129 | Amistad 82 | Conte (1991) | |
| 712 | marzo-agosto | 137 | Amistad 82 | Conte (1991) | |
| 856 | abril-agosto | 137 | J-104 | Conte (1991) | |
| Los Palacios (Pinar del Río) | 649,4 | diciembre | 150 | Ruiz (2014) | |
| 831,3 | mayo | 140 | Ruiz (2014) | ||
| 585,9 | julio | 110 | Ruiz (2014) |
La Tabla 4 muestra los valores de ETc para el arroz determinados en lisímetros en estudios publicados en Cuba y también valores obtenidos por Ruiz (2014) utilizando el programa CropWat 8.0 (FAO, 2009) con los coeficientes (Kc) propuestos por Allen et al. (2006).
Los valores obtenidos por Polon y Pardo (1982) son extremadamente elevados al compararlos con los obtenidos fuera de Cuba (tabla 3) y también con los de Hernández e Infante (1976 a,b) en localidades diferentes y con los de Conte (1991) y Ruiz (2014) en la misma localidad.
El trabajo de Hernández e Infante (1976 a y b) comprendió una sola cosecha en invierno y primavera, mientras que Conte (1991) trabajo durante 4 cosechas y dos variedades diferentes en cada ciclo por el estudiado. Por su parte, Ruiz (2014) realizó sus estudios con datos de clima de 21 años teniendo en cuenta solo la duración teórica del ciclo del cultivo sin atenerse a ninguna variedad del mismo, reportándose en la Tabla 4 solo la probabilidad de ocurrencia de la ETc correspondiente al 25%.
Al comparar los resultados de la ETc del arroz mostrados en la tabla 4, en los experimentos de campo con los obtenidos al utilizar el CropWat Ruiz (2014), para épocas de siembra equivalentes, se puede observar similitud en los resultados dentro de cada época y duración del ciclo. En general los valores obtenidos en Cuba son mayores que los señalados en la literatura internacional, incluso para regiones con un clima similar al nuestro (Tabla 3).
Como se señaló anteriormente, la ETc contribuye entre el 56 al 53% del agua total que requiere el riego del arroz Renault (2004), y es el agua que actúa directamente a la formación del rendimiento, sin embargo de la revisión de las investigaciones realizadas en Cuba al respecto a partir de 1959, se nota que se ha prestado poca atención al tema. De este modo en la tabla 4 solo se acotan resultados de dos regiones, aunque de acuerdo con Camejo et al. (2017) y Alvarez (2017) se han realizado trabajos de investigación en la región Central del país (Diakite, 1987, citados por Camejo et al. (2017) y Dueñas 1976, citado por Alvarez (2017) los cuales no se pudieron consultar en su fuente original. Otro aspecto a señalar es que de las variedades utilizadas en la investigaciones reseñadas, solo la J-104 aún era recomendada en el 2005 (Minag, 2005).
Otro aspecto que destacan los resultados mostrados en la tabla 4, es la posibilidad de utilización del Programa CropWat 8.0 para el cálculo de la ETc del arroz en regiones del país de las cuales aún no se tiene información e incluso para obtener predicciones sobre el posible comportamiento de Etc ante los efectos del cambio climático tal y como han demostrado su validez en otras regiones del mundo (Seung et al., 2006; Bouraima et al., 2015; Surendran et al., 2015; Chowdhury et al., 2016; Ding et al., 2017).
Norma de Riego
La expresión del resultado final del balance de agua para el cultivo del arroz durante todo su ciclo es la norma de riego neta, o sea la cantidad de agua total a planificar (sin tener en cuenta las pérdidas en el sistema de conducción, distribución y aplicación) para obtener el rendimiento deseado.
De lo visto anteriormente, los parámetros percolación y evapotranspiración por si solos ocupan entre el 80 al 90% del agua aplicada como norma de riego, de ahí la importancia de la determinación de las características de la infiltración del suelo (determina la percolación) y del consumo de agua del cultivo, el cual es una función de la variedad, la duración del ciclo y de la demanda climática, en relación esta última con la época en que se desarrolle el cultivo.
Los primeros resultados del cálculo de las normas de riego publicados en Cuba basadas en el balance hídrico del cultivo mostraron valores de 18 000 m3 ha-1 para la zona de los Palacios Egaña (1969) y de 16 113 m3 ha-1 para la zona de Sancti Spiritus Pérez (1975), mientras que Rey y De la Hoz (1979) calcularon normas (promedios para Cuba) de 16 658, 17 074 y 14 305 m3 ha-1 para las siembras de diciembre, marzo y julio, respectivamente.
Acorde con los criterios anteriores, Alemán et al. (1987) propusieron normas (no se especifican en el estudio los elementos del balance hídrico) para distintos ciclos de siembra y localidades en Cuba, las cuales fueron oficializadas por el Instituto Nacional de Recursos Hidráulicos en la Resolución 21/99 INRH (1999) y ratificadas en el 2015 (INRH, 2015). La Tabla 5 muestras las normas oficiales utilizadas para el cálculo de la demanda de agua en el arroz en Cuba. Las altas demandas de riego, en comparación con los requerimientos de agua del cultivo (ETc) ha conllevado a dirigir los esfuerzos en la modificación de los métodos de manejo del riego en el arroz, como el llamado ¨Sistema Intensivo del Cultivo del Arroz (SICA) que combina prácticas agrícolas novedosas de conjunto con el manejo del agua sobre la base de no mantener el campo inundado (Pérez, 2002).
Otros resultados obtenidos en Cuba, donde al modificar el manejo del agua se obtienen reducciones significativas de la norma de riego en el cultivo del arroz, son los de Camejo et al. (2017), quienes al comparar un sistema de manejo donde se dejó disminuir la lámina de agua en la terraza hasta 3 cm y reponiéndola posteriormente hasta 10 cm hasta el 50% de paniculación con el sistema tradicional de aniego permanente, obtuvieron una disminución de la norma de riego en un 50% sin afectaciones en el rendimiento que fue como promedio de todas las variantes de 5,8 t ha-1.
Menezes (2013) señalaron que entre los años 1970-1980, en el estado de Rio Grande do Soul, en Brasil se aplicaban normas de riego al arroz entre 14 a 16 mil m3 ha-1 y obtenían rendimientos de 4 t ha-1, sin embargo, reportan estos mismos autores, con los cambios realizados en la tecnología de producción de arroz, en particular el manejo del agua, se logró disminuir la norma entre 10 000 a 8 000 m3ha-1, mientras los rendimientos se incrementaron hasta 8 a 10 t ha-1.
Una práctica común de manejo del agua en el arroz en los últimos años ha sido la denominada Alternancia de Mojado y Secado (Alternate Wetting and Drying Iirrigation, AWD según la literatura en habla inglesa); Carrijo et al. (2017) realizaron una extensa revisión de la literatura sobre este tema en el mundo y concluyeron que el manejo del riego AWD puede reducir tanto las emisiones de gases GHC como el consumo de agua, ambos con un valioso beneficio para la meta de obtener una intensificación sostenible de la producción arrocera. A estas conclusiones, los autores antes citados añadieron que el manejo AWD puede reducir el rendimiento si no se implementa correctamente, identificando en su trabajo, las condiciones de suelo y manejo bajo los cuales AWD puede practicarse sin sacrificar los rendimientos. Concluyen estos autores que utilizando AWD se obtiene también un 23% de reducción en el uso del agua y que las propiedades del suelo afectan el comportamiento de AWD, subrayando con esto la necesidad de investigaciones regionales para poder realizar recomendaciones finamente sintonizadas con las características de cada lugar.
TABLA 5.
Normas Netas totales del arroz para diferentes provincias y ciclos de cultivo según la Resolución 287/2015 del INRH
Leyenda: PR- Pinar del Rio, ART- Artemisa, MAY- Mayabeque, MZA- Matanza, VC- Villa Clara, CFO- Cienfuegos, SS- Sancti Spíritus, CA- Ciego de Ávila, CMY- Camagüey, LT- Las Tunas, HL- Holguín, GM- Guantánamo, SC- Santiago de Cuba, GTO- Guantánamo, IJ- Isla de la Juventud.
CONCLUSIONES
A pesar del gran esfuerzo en investigaciones sobre el cultivo del arroz en Cuba, poca atención se ha brindado a la determinación del consumo de agua por evapotranspiración del cultivo. A pesar de que el arroz está extendido en todo el país, y se conocen las diferencias en ETo entre diferentes regiones, solo se han realizado investigaciones al respecto en la región occidental (La Habana y Pinar del Río) y la región central (Sancti Spiritus). Por otra parte, los estudios referidos se realizaron en los años 80 y principios de los 90 del pasado siglo y con variedades que actualmente no están en uso.
La importancia de este parámetro en el balance del agua (norma de riego) del arroz (entre el 56 al 53% del agua total que requiere el riego del arroz) reclama de estudios más profundos donde se utilicen variedades actualmente en uso. Por la gran dependencia de este parámetro con el clima, otro aspecto que obliga a un estudio más profundo del mismo lo constituye el efecto potencial que el cambio climático puede ocasionar en la demanda de agua del arroz, pero para estudiar este efecto es necesario conocer cuál es el consumo de agua real (ETc) de las variedades actualmente en uso.
Otro elemento importante, es que a diferencia de otros cultivos, para el arroz no existen en el país, coeficientes de cultivo (Kc) que permitan estimar la ETc a partir de valores locales de ETo. Esto determina que al utilizar modelos como CropWat, ampliamente utilizados en la actualidad para determinar las demandas de agua del arroz con buenos resultados haya que utilizar coeficientes foráneos.
La tasa de infiltración es el segundo componente importante en el balance de agua del arroz y significa entre el 20 al 30% del componente de la norma, el mismo tiene una relación lineal positiva con el valor de esta, tal y como ha señalado con anterioridad. Este es un parámetro dependiente del tipo de suelo en que se cultiva el arroz y de la condición del mismo por lo que su valor es local y puede cambiar con el tiempo en dependencia del manejo del suelo. Los estudios existentes en Cuba sobre la infiltración en los suelos arroceros datan de los años 80 del siglo pasado, por lo que a tenor de las condiciones actuales de los suelos arroceros (posiblemente una mayor compactación producto de la explotación continuada) se requiere una revisión de estos valores.
Los resultados de investigación obtenidos en el país al realizar diferentes manejos del riego han demostrado la posibilidad de reducir la norma de riego del cultivo sin afectar los rendimientos, estos elementos de conjunto con la introducción de nuevas variedades, condición de los suelos y otros indican la necesidad de una revisión de las normas de riego actualmente en uso, las cuales deberían ser calculadas a partir de resultados de trabajos de investigación necesarios a realizar en las diferentes zonas arroceras del país.